CÂY NHÂN SÂM
Thông tin khoa học của CÂY NHÂN SÂM Radix Ginseng Rễ củ chế biến của cây nhân sâm Panax ginseng C.A.Mey., họ Nhân sâm Araliaceae Đặc điểm thực vật Cây nhỏ,...
Thông tin khoa học của CÂY NHÂN SÂM
Radix Ginseng
Radix Ginseng
| Rễ củ chế biến của cây nhân sâm | Panax ginseng C.A.Mey., |
| họ Nhân sâm | Araliaceae |
Contents
Đặc điểm thực vật

Cây nhỏ, cao 30-50cm có thể sống trên 50 năm. Cây mang ở ngọn một vòng 4-5 lá. Cuống lá dài. Lá kép chân vịt. Lá lúc đầu có 3 lá chét về sau có 5 lá chét; hai lá chét ngoài nhỏ hơn các lá chét ở giữa. Mép lá có răng cưa. Cây trồng thì ra hoa vào năm thứ 3 vào mùa hạ; từ điểm giữa của vòng lá nhô lên một trục cao chừng 10 cm mang hoa màu trắng nhạt nhóm họp thành tán đơn.

Hoa đều 5 cánh, lá đài 5 răng, 5 nhị. Bầu dưới, 2 ô. Quả hạch, màu đỏ gần hình cầu. Rễ củ thường to bằng ngón tay phân thành nhiều nhánh nom như hình người nên có tên là nhân sâm. Đôi khi có những củ sâm có kích thước rất lớn nặng đến 300-400g.
Địa lý và trồng trọt
Mọc hoang và được trồng ở đông bắc Trung quốc, Triều tiên, Liên xô cũ. Việc trồng trọt nhân sâm rất công phu (tương tự như tam thất, xem bài sau), sau 5-6 năm mới thu hoạch. Đất phải tốt. Cây ưa bóng râm. Thu hoạch vào mùa xuân và mùa thu. Người ta cho rằng loại mọc hoang có giá trị hơn loại trồng. Hiện nay ta còn phải nhập nhân sâm của nước ngoài.
Chế biến:

trong y học dân tộc cổ truyền người ta phân biệt hai loại chính: hồng sâm và bạch sâm.
Hồng sâm: chọn củ mẫm to, nặng trên 37g, rửa sạch đất cát, cho vào nồi chưng chín trong khoảng 2 giờ, sau đó sấy hoặc phơi khô. Sau khi chế biến thì tinh bột có trong rễ bị chín và khi khô thì thể chất trong suốt nửa như sừng, có màu hồng mùi thơm, vị ngọt hơi đắng. “Thân” sâm hình thoi hoặc gần như hình trụ, phần trên và phần dưới hơi thót lại.
Phần “đầu” tức là cổ rễ, đôi khi nom rõ vết sẹo của thân. Rễ đôi khi phân nhánh nom như cánh tay, phần dưới có 2 hoặc 3 nhánh nom như chân. Củ càng to càng giá trị.
Bạch sâm (hoặc đường sâm): những củ sâm không đủ tiêu chuẩn chế hồng sâm thì chế bạch sâm. Sau khi rửa sạch đất cát thì nhúng vào nước sôi vài phút, sau đó tẩm đường vài ngày rồi phơi hoặc sấy ở nhiệt độ không quá 60o. Dược liệu sau khi chế biến thì mặt ngoài màu trắng ngà, mềm, thường có tinh thể đường bám bên ngoài, mặt bẻ màu trắng ngà và xốp, mùi thơm, vị ngọt.
Ngoài 2 loại trên ra thì còn có:
– Sinh sái sâm là loại sâm để nguyên vỏ, sau khi loại sạch đất cát chỉ phơi khô.
– Đại lực sâm là loại sâm chế biến có nhúng vào nước sôi vài phút rồi lấy ra phơi.
– Tu sâm là rễ con của củ sâm.
– Người ta còn phân biệt loại trồng là viên sâm, loại mọc hoang là dã sơn sâm.
– Trà sâm: dịch chiết sâm, bốc hơi, bào chế dưới dạng bột hòa tan, đựng trong túi giấy bạc.
Hồng sâm: chọn củ mẫm to, nặng trên 37g, rửa sạch đất cát, cho vào nồi chưng chín trong khoảng 2 giờ, sau đó sấy hoặc phơi khô. Sau khi chế biến thì tinh bột có trong rễ bị chín và khi khô thì thể chất trong suốt nửa như sừng, có màu hồng mùi thơm, vị ngọt hơi đắng. “Thân” sâm hình thoi hoặc gần như hình trụ, phần trên và phần dưới hơi thót lại.
Phần “đầu” tức là cổ rễ, đôi khi nom rõ vết sẹo của thân. Rễ đôi khi phân nhánh nom như cánh tay, phần dưới có 2 hoặc 3 nhánh nom như chân. Củ càng to càng giá trị.
Bạch sâm (hoặc đường sâm): những củ sâm không đủ tiêu chuẩn chế hồng sâm thì chế bạch sâm. Sau khi rửa sạch đất cát thì nhúng vào nước sôi vài phút, sau đó tẩm đường vài ngày rồi phơi hoặc sấy ở nhiệt độ không quá 60o. Dược liệu sau khi chế biến thì mặt ngoài màu trắng ngà, mềm, thường có tinh thể đường bám bên ngoài, mặt bẻ màu trắng ngà và xốp, mùi thơm, vị ngọt.
Ngoài 2 loại trên ra thì còn có:
– Sinh sái sâm là loại sâm để nguyên vỏ, sau khi loại sạch đất cát chỉ phơi khô.
– Đại lực sâm là loại sâm chế biến có nhúng vào nước sôi vài phút rồi lấy ra phơi.
– Tu sâm là rễ con của củ sâm.
– Người ta còn phân biệt loại trồng là viên sâm, loại mọc hoang là dã sơn sâm.
– Trà sâm: dịch chiết sâm, bốc hơi, bào chế dưới dạng bột hòa tan, đựng trong túi giấy bạc.
Vi phẫu: Lớp bần gồm 4-5 hàng tế bào. Mô mềm vỏ gồm tế bào thành mỏng, chứa tinh bột hình cầu. Trong phần mô mềm và liber có các ống tiết (mặt cắt ngang ống tiết hình bầu dục). Các ống tiết vòng ngoài thì lớn hơn các ống tiết vòng trong. Mô mềm có tinh bột và ca oxalat hình câu gai. Mạch gỗ xếp thành từng đám rải rác, đường kính của một mạch gỗ từ 15-40m. Tia ruột rộng.
Bột:
nhiều hạt tinh bột riêng lẻ, hình dạng thay đổi, đường kính 4-20m. Mảng mạch mạng và mạch thang. Mảnh mô mềm với ống tiết màu vàng. Tinh thể oxalat ca hình cầu gai. Mảnh bần gồm tế bào nhiều góc, màu hơi nâu.
Thành phần hóa học
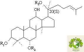
Thành phần chính là các saponin triterpenoid tetracyclic nhóm dammaran gọi chung là ginsenosid. Trước đây khi thủy phân các glycosid bằng acid người ta thu được 2 aglycon chính là panaxadiol và panaxatriol. Về sau xác định lại và thấy rằng các aglycon trên không thật vì dưới tác dụng của acid thì mạch nhánh bị đóng vòng lại. Bằng phương pháp thủy phân bằng enzym hoặc hóa giáng đặc biệt để cắt đường mà không ảnh hưởng đến phần aglycon người ta thu được các aglycon thật: protopanaxadiol (=dammar – 24-ene, 3, 12, 20-triol) và protopanaxatriol (= dammar – 24-ene 3-, 6, 12, 20-tetraol).
Sau đây là các saponin trong rễ nhân sâm trồng đã được biết cấu trúc:
Sau đây là các saponin trong rễ nhân sâm trồng đã được biết cấu trúc:

Gingsenosid- Ra1 Gingsenosid- Ra2 Gingsenosid- Ra3 Gingsenosid- Rb1 Gingsenosid- Rb2 Gingsenosid- Rb3 Gingsenosid- Rc Gingsenosid- Rd Malonyl-gingsenosid Rb1 Malonyl-gingsenosid Rb2 Malonyl-gingsenosid Rc Malonyl-gingsenosid Rd Gingsenosid- Rg3 (20S) Gingsenosid- Rg3 (20 R) Gingsenosid- Rh2 Gingsenosid- Rs1 Gingsenosid- Rs2 Quinquenosid- R1 Notoginsenosid- R4 | -glc2-glc -glc2-glc -glc2-glc -glc2-glc -glc2-glc -glc2-glc -glc2-glc -glc2-glc -glc2-glc6-Ma -glc2-glc6-Ma -glc2-glc6-Ma -glc2-glc6-Ma -glc2-glc -glc2-glc -glc -glc2-glc6-Ac -glc2-glc6-Ac -glc2-glc6-Ac -glc2-glc
| -glc6-ara(p)4-xyl -glc6-ara(f)2-xyl -glc6-glc3-xyl -glc6-glc – glc6-ara(p) – glc6-xyl -glc6-ara(f) -glc -glc6-glc -glc6-ara (p) -glc6-ara (f) -glc -H -H -H -glc6-ara(p) -glc6-ara(f) -glc6-glc -glc6-glc6-xyl | ||
![]() | ||||
Gingsenosid Re Gingsenosid Rf 20-gluco-ginsenosid Rf Gingsenosid Rg1 Gingsenosid Rg2 (20S) Gingsenosid Rg2 (20 R) Gingsenosid Rh1 (20S) Gingsenosid Rh1(20 R) Notoginsenosid R1 | – glc2-rha – glc2-glc – glc2-glc – glc – glc2-rha – glc2-rha – glc – glc – glc2-xyl
| |||
Chú thích: Ma = malonyl, Ac = acetyl. Các đơn vị đường, xem chú thích ở phần đại cương về carbohydrat.
Lá cũng có chứa saponin loại dammaran, đã phân lập và xác định cấu trúc:
a. Các saponin có aglycon là protopanaxadiol:
Gingsenosid Rb1, -Rb2, -Rc, Rd, -F2
b. Các saponin có aglycon là protopanaxatriol:
Gingsenosid -Re, -Rg1, -F1, -F3
Trong nhân sâm còn có saponin với aglycon là acid oleanolic: Ginsenosid Ro (=acid oleanolic + 2 glucose + glucuronic acid)
Các thành phần khác: tinh dầu 0,05%-0,25%, vit B1, B2, các phytosterol 0,029%, glycan.
Định tính:
– Nhỏ lên bột dược liệu 1 giọt acid sulfuric đậm đặc, sau 1-2 phút sẽ xuất hiện màu đỏ gạch, chuyển sang tím đỏ rồi tím.
– Nhỏ 3-4 giọt nước sắc dược liệu vào một ống nghiệm, làm bốc hơi trên cách thuỷ đến khô. Nhỏ lên cắn 0,2-0,4ml dung dịch benzidin 0,01% trong acid sulfuric đậm đặc, sẽ xuất hiện màu đỏ gạch sau chuyển sang tím đỏ.
– Thêm vào nước sắc 1:5 một vài giọt dung dịch bạc nitrat, sẽ xuất hiện màu hồng và sau 24 giờ thì có tủa vô định hình màu đỏ.
Lá cũng có chứa saponin loại dammaran, đã phân lập và xác định cấu trúc:
a. Các saponin có aglycon là protopanaxadiol:
Gingsenosid Rb1, -Rb2, -Rc, Rd, -F2
b. Các saponin có aglycon là protopanaxatriol:
Gingsenosid -Re, -Rg1, -F1, -F3
Trong nhân sâm còn có saponin với aglycon là acid oleanolic: Ginsenosid Ro (=acid oleanolic + 2 glucose + glucuronic acid)
Các thành phần khác: tinh dầu 0,05%-0,25%, vit B1, B2, các phytosterol 0,029%, glycan.
Định tính:
– Nhỏ lên bột dược liệu 1 giọt acid sulfuric đậm đặc, sau 1-2 phút sẽ xuất hiện màu đỏ gạch, chuyển sang tím đỏ rồi tím.
– Nhỏ 3-4 giọt nước sắc dược liệu vào một ống nghiệm, làm bốc hơi trên cách thuỷ đến khô. Nhỏ lên cắn 0,2-0,4ml dung dịch benzidin 0,01% trong acid sulfuric đậm đặc, sẽ xuất hiện màu đỏ gạch sau chuyển sang tím đỏ.
– Thêm vào nước sắc 1:5 một vài giọt dung dịch bạc nitrat, sẽ xuất hiện màu hồng và sau 24 giờ thì có tủa vô định hình màu đỏ.
Sắc ký lớp mỏng:
a) Chuẩn bị dịch chiết: Bột nhân sâm (1,2g), chiết bằng methanol: nước 8:2 (tt/tt) (100ml). Dịch chiết đem bốc hơi dưới áp suất giảm đến khô. Phần cắn được hòa tan lại trong nước (50ml) rồi chiết các saponin bằng n-butanol bão hòa nước (25ml x3). Phần dung môi hữu cơ đem bốc hơi dưới áp suất giảm, phần cắn đem hòa tan trong 1ml methanol, đặt lên bản sắc ký 15l dịch chiết thành vạch 1cm.
b) Chất hấp phụ, hệ dung môi khai triển và thuốc thử hiện màu (theo J.F. Plenard):
+ Chất hấp phụ: silicagel G
+ Các hệ dung môi tách tốt:
· DM1 AcOEt – ForOH – H2O ( 80:16:24)
· DM2 CHCl3 – MeOH – H2O (65:35: 11) (dùng lớp dưới)
· DM3 n.BuOH – EtOH (10:2) (bão hoà nước trước khi dùng)
Nếu sắc ký hai chiều thì dùng cặp hệ
DM2
n BuOH – AcOH – H2O ( 40:20:10)
+ Thuốc thử
Antimoin trichlorid (dung dịch bão hòa trong CHCl3 )
Acid sulfuric 10% trong nước.
Sắc ký khí: (theo J.F. Plenard):
Tiến hành sắc ký khí lỏng để phát hiện và định lượng panaxadiol và panaxatriol: Sau khi thủy phân saponin bằng dung dịch HCl 7% trong ethanol 50% trên nồi cách thủy 4 giờ, dịch thủy phân được pha lõang với nước rồi bốc hơi ở áp suất giảm. Sau đó tiến hành tách trực tiếp panaxadiol và panaxatriol hoặc sau khi silan hóa bằng hỗn hợp 1 thể tích No BSA và 0,2 thể tích TMCS, tướng tĩnh chromosorb Q 80-100 mesh chứa 2,5% OV101; nhiệt độ của cột: chương trình hóa từ 230-300oC; lượng chất mẫu: 1l; vận tốc khí nitrogen 40ml/phút; phương pháp phát hiện: ion hóa ngọn lửa.
Tác dụng dược lực
Ginsenosid hoặc dịch chiết từ nhân sâm có những tác dụng sau:
– Kháng histamin: ngăn ngừa hiện tượng co thắt ruột của chó gây ra do tiêm histamin phosphat.
– Kháng cholin: giảm co thắt ruột của chuột lang cô lập khi gây co thắt bởi acetyl cholin.
– Giảm lượng cholesterol của huyết thanh thí nghiệm trên chuột.
– Tác dụng làm giảm hoạt động nhưng lại làm thức tĩnh, trên chuột làm thí nghiệm thấy nằm nhiều nhưng ngủ ít.
– Có tác dụng chống stress ở chuột thí nghiệm.
– Tăng khả năng nhận biết và trí nhớ của chuột.
– Trên huyết áp có hai giai đoạn nâng và hạ.
– Tác dụng kích thích tổng hợp RNA trên gan chuột cống nếu tiêm ginsenosid vào màng bụng 4 giờ trước khi tiêm các chất tiền sinh (acid orotic – 614-C và phosphat có đánh dấu). Các nhà nghiên cứu Nhật đã chế dung dịch tiêm hỗn hợp ginsenosid (từ 100g nhân sâm chiết được 1,2 g hoạt chất) có tác dụng kích thích tổng hợp RNA.
– Tác dụng chuyển glucose thành glycogen, ngăn ngừa hiện tượng giảm glycogen, ATP hoặc creatin phosphat và ngăn ngừa hiện tượng tăng acid lactic và acid pyruvic trong cơ của chuột cống thí nghiệm bằng phương pháp cho chuột bơi, do đó cung cấp được một cách nhanh chóng năng lượng cho cơ hoạt động. Ginsenosid có tác dụng tăng sức nếu đưa thuốc vào dạ dày chuột nhắt trắng trước khi làm thí nghiệm cho chuột chạy đến kiệt sức.
– Tăng bài niệu kèm thải ure.
– Tăng tác dụng bảo vệ cơ thể đối với bức xạ tốt hơn ionol.
– Tác dụng giảm sốt, giảm đau do thấp khớp.
– Tác dụng kích dục.
– Tác dụng kích thích miễn dịch.
– Dịch chiết nhân sâm có tác dụng kéo dài thời gian sống của chuột thí nghiệm bị nhiễm trypanosom; có tác dụng ngăn ngừa cơn sốt của thỏ thí nghiệm bị nhiễm vi khuẩn thương hàn và phó thương hàn, có tác dụng làm giảm độ viêm trên chân chuột thí nghiệm.
– Thí nghiệm trên người dùng dịch chiết nhân sâm đã được tiêu chuẩn hóa bằng hàm lượng ginsenosid, chứng minh có sự cải thiện rất rõ về tinh thần cũng như thể lực. Thí nghiệm trên người có tuổi cho thấy có sự nâng cao tuần hoàn máu trong tim và não, do đó tăng được khả năng làm việc, làm giảm sự mất trí nhớ.
– Panaxan (=glycan) của rễ có tác dụng chống tiểu đường.
– Độc tính của saponin nhân sâm rất thấp, LD50 = 765 mg/kg (tiêm vào màng bụng chuột).
Công dụng
Nhân sâm được dùng từ lâu đời ở các nước Á đông và đã được đưa vào Dược điển một số nước. Cao nhân sâm là thành phần chính của biệt dược “Pharmaton” SA Lugano.
Dùng sâm trong trường hợp suy nhược cơ thể sau khi ốm nặng, làm việc quá sức và mệt mỏi, liệt dương, lãnh dục, ăn không ngon, suy yếu đường tiêu hóa. Sâm có tác dụng chống lão hóa, chống stress, chữa xơ vữa động mạch, bệnh tiểu đường, lipid máu cao, gan nhiễm mỡ.
Dùng nhân sâm thì nâng cao khả năng lao động bằng trí óc, khả năng tập trung tư tưởng và tăng trí nhớ, tăng cường miễn dịch đặc hiệu của hệ thống đề kháng của cơ thể.
Cách dùng: dùng dưới dạng cồn thuốc, nước chưng cách thuỷ, thuốc bột dập viên. Ngày dùng 2-6g. Hiện nay trên thị trường thông dụng là loại trà tan.
Lá cũng sử dụng chứ không bỏ đi.
– Kháng histamin: ngăn ngừa hiện tượng co thắt ruột của chó gây ra do tiêm histamin phosphat.
– Kháng cholin: giảm co thắt ruột của chuột lang cô lập khi gây co thắt bởi acetyl cholin.
– Giảm lượng cholesterol của huyết thanh thí nghiệm trên chuột.
– Tác dụng làm giảm hoạt động nhưng lại làm thức tĩnh, trên chuột làm thí nghiệm thấy nằm nhiều nhưng ngủ ít.
– Có tác dụng chống stress ở chuột thí nghiệm.
– Tăng khả năng nhận biết và trí nhớ của chuột.
– Trên huyết áp có hai giai đoạn nâng và hạ.
– Tác dụng kích thích tổng hợp RNA trên gan chuột cống nếu tiêm ginsenosid vào màng bụng 4 giờ trước khi tiêm các chất tiền sinh (acid orotic – 614-C và phosphat có đánh dấu). Các nhà nghiên cứu Nhật đã chế dung dịch tiêm hỗn hợp ginsenosid (từ 100g nhân sâm chiết được 1,2 g hoạt chất) có tác dụng kích thích tổng hợp RNA.
– Tác dụng chuyển glucose thành glycogen, ngăn ngừa hiện tượng giảm glycogen, ATP hoặc creatin phosphat và ngăn ngừa hiện tượng tăng acid lactic và acid pyruvic trong cơ của chuột cống thí nghiệm bằng phương pháp cho chuột bơi, do đó cung cấp được một cách nhanh chóng năng lượng cho cơ hoạt động. Ginsenosid có tác dụng tăng sức nếu đưa thuốc vào dạ dày chuột nhắt trắng trước khi làm thí nghiệm cho chuột chạy đến kiệt sức.
– Tăng bài niệu kèm thải ure.
– Tăng tác dụng bảo vệ cơ thể đối với bức xạ tốt hơn ionol.
– Tác dụng giảm sốt, giảm đau do thấp khớp.
– Tác dụng kích dục.
– Tác dụng kích thích miễn dịch.
– Dịch chiết nhân sâm có tác dụng kéo dài thời gian sống của chuột thí nghiệm bị nhiễm trypanosom; có tác dụng ngăn ngừa cơn sốt của thỏ thí nghiệm bị nhiễm vi khuẩn thương hàn và phó thương hàn, có tác dụng làm giảm độ viêm trên chân chuột thí nghiệm.
– Thí nghiệm trên người dùng dịch chiết nhân sâm đã được tiêu chuẩn hóa bằng hàm lượng ginsenosid, chứng minh có sự cải thiện rất rõ về tinh thần cũng như thể lực. Thí nghiệm trên người có tuổi cho thấy có sự nâng cao tuần hoàn máu trong tim và não, do đó tăng được khả năng làm việc, làm giảm sự mất trí nhớ.
– Panaxan (=glycan) của rễ có tác dụng chống tiểu đường.
– Độc tính của saponin nhân sâm rất thấp, LD50 = 765 mg/kg (tiêm vào màng bụng chuột).
Công dụng
Nhân sâm được dùng từ lâu đời ở các nước Á đông và đã được đưa vào Dược điển một số nước. Cao nhân sâm là thành phần chính của biệt dược “Pharmaton” SA Lugano.
Dùng sâm trong trường hợp suy nhược cơ thể sau khi ốm nặng, làm việc quá sức và mệt mỏi, liệt dương, lãnh dục, ăn không ngon, suy yếu đường tiêu hóa. Sâm có tác dụng chống lão hóa, chống stress, chữa xơ vữa động mạch, bệnh tiểu đường, lipid máu cao, gan nhiễm mỡ.
Dùng nhân sâm thì nâng cao khả năng lao động bằng trí óc, khả năng tập trung tư tưởng và tăng trí nhớ, tăng cường miễn dịch đặc hiệu của hệ thống đề kháng của cơ thể.
Cách dùng: dùng dưới dạng cồn thuốc, nước chưng cách thuỷ, thuốc bột dập viên. Ngày dùng 2-6g. Hiện nay trên thị trường thông dụng là loại trà tan.
Lá cũng sử dụng chứ không bỏ đi.
* Chú thích về tên: Gọi là nhân sâm vì củ sâm thường phân nhánh hơi giống hình người. Còn từ Panax là do từ Hy lạp Panacea nghĩa là thuốc chữa được tất cả các bệnh, gingseng là phiên âm từ chữ nhân sâm. Người ta còn gọi là Cao ly sâm hay sâm Triều tiên (Cao ly là tên cũ của Triều tiên)
Copy xin vui lòng ghi nguồn duoclieu.edu.vn
Nguồn:duoclieu.edu.vn
Sao chép liên kết






In bài viết

















